一、选择题:每小题4分,共40分,在每小题给出的四个选项中,只有一项是符合题目要求。
第1题

参考答案:D
第2题

参考答案:B
第3题

参考答案:D
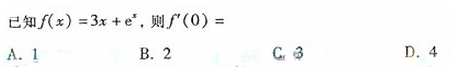
第4题

参考答案:A
第5题

参考答案:C
第6题

参考答案:C
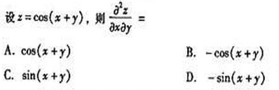
第7题

参考答案:C
第8题

参考答案:A
第9题

参考答案:B
第10题

参考答案:A
二、填空题:本大题共10个小题,每小题4分,共40分,把答案填写在题中横线上。
第11题

参考答案:-1
第12题

参考答案:3
第13题

参考答案:2
第14题

参考答案:0
第15题

参考答案:-4sin2x
第16题

参考答案:2(x-1)
第17题


第18题

参考答案:0
第19题

参考答案:1/4
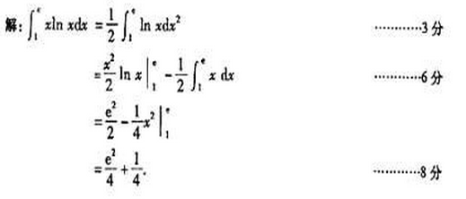
第20题


三、解答题:共70分。解答应写出推理、演算步骤。
第21题


第22题


第23题


第24题


第25题


第26题


第27题


第28题


本文标签:广东成人高考高等数学二2006年成人高考专升本高等数学二考试真题及参考答案
转载请注明:文章转载自(http://www.gdcrgk.net)
已帮助5w万+意向学历提升用户
成功上岸
本网所提供的信息仅供学习交流使用
官方信息以广东省教育考试院发布为准
粤ICP备19160122号