一、选择题:本大题共5个小题,每小题4分,共20分,在每小题给出的四个选项中,只有一项是符合题目的要求,把所选项前的字母填在题后的括号内。 第1题

参考答案:A 第2题

参考答案:B 第3题

参考答案:D 第4题

参考答案:C 第5题

参考答案:D 二、填空题:本大题共10个小题,每小题4分,共40分,把答案填写在题中横线上。 第6题


第7题


第8题


第9题


第10题


第11题


第12题


第13题


第14题


第15题


三、解答题:本大题共13个小题,共90分,解答应写出推理、演算步骤. 第16题


第17题


第18题


第19题


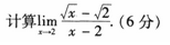
第20题


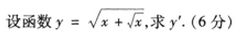
第21题


第22题


第23题


第24题


第25题


第26题


第27题


第28题


本文标签:广东成人高考高等数学二2003年成人高考专升本高等数学二考试真题及参考答案
转载请注明:文章转载自(http://www.gdcrgk.net)
已帮助5w万+意向学历提升用户
成功上岸
本网所提供的信息仅供学习交流使用
官方信息以广东省教育考试院发布为准
粤ICP备19160122号